アカウント作成
ユーザーアカウントはZCPに登録されているユーザーアカウントと自動的に連携されません。新規登録の場合、Giteaにアクセスすると以下のような新規登録画面が表示され、必要な情報を入力して新規登録を行います。
(必ず登録の下にあるユーザー名とメールアドレスは変更せず、パスワードのみ入力してアカウントを作成してください。)
その後、ZCP Consoleを通じてソースリポジトリにアクセスすると、自動的にログインされます。

組織管理
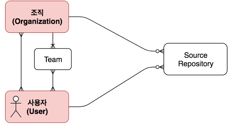
ソースリポジトリはユーザーまたは組織(Organization)単位で管理が可能です。
ソースリポジトリの管理のために、組織/チームおよびユーザー単位でリポジトリを作成できます。上の図のように、リポジトリ-組織/チーム-ユーザーの関係図を描くことができます。

組織作成
組織はリポジトリを管理単位としてグループ化するために活用できます。組織を作成するには、右上の新しい組織ボタンをクリックします。

新しい組織名を入力し、新しい組織ボタンをクリックすると組織が作成されます。

以下のように、新しい空の画面が表示され、組織作成が完了します。

組織にチームを追加
最初の画面で組織をクリックした後、チームを追加する組織を選択します。

右下の新しいチーム作成ボタンをクリックします。

新しいチームを作成するための情報を入力し、新しいチーム作成ボタンをクリックします。

「このチームの権限は何ですか?」の下では、Gitリポジトリの読み取り/書き込み/管理者機能を持ちます。
「このチームはどのユニットにアクセスできますか?」の下では、Giteaが提供する追加機能へのアクセス権限を設定できます。
組織にチームメンバーを追加
組織にチームが作成されると、チームメンバー(構成員)を追加できます。組織が作成された画面でメンバーリンクをクリックし、チームメンバーウィンドウにユーザーIDを入力します。
(IDが存在する場合、自動検索された結果が下に表示されます。)

組織にOwnerを追加
組織の下にチーム単位でアクセス権限を付与することも、ユーザー(Owner)単位で権限を付与することもできます。そのため、次の手順でユーザーを追加できます。
Giteaの最初の画面で組織をクリックし、チームを追加する組織を選択します。

組織の最初の画面で、右下のOwnersリンクをクリックします。

チームメンバーを追加するのと同様に、ユーザーIDを入力してメンバーを追加します。
(Ownersに属するユーザーは、組織内のすべてのリポジトリに対するすべての権限と管理者権限を持ちます。)

組織にリポジトリを作成
リポジトリ(Repository)はgitのリモートリポジトリ(Remote Repository)です。これを組織の下に作成し、チームにアクセス権限を付与できます。
Giteaの最初の画面で組織をクリックし、チームを追加する組織を選択します。

組織の最初の画面で、中央の新しいリポジトリボタンをクリックします。

リポジトリの名前や説明を入力し、リポジトリ作成ボタンをクリックします。

リポジトリが作成されると、組織の最初の画面でリストを確認できます。
リポジトリ設定
リポジトリを作成したユーザーは、基本的な管理機能を設定できます。以下のように、右上に設定ボタンが有効になります。
オプション(Options)設定
共同作業(Collaboration)
Webhooks
リポジトリ(Repository)でイベントが発生すると、Webhookを通じてPOSTリクエストを送信できます。
Git Hooks
Gitは他のバージョン管理システムと同様に、特定のイベントが発生した際に自動的に特定のスクリプトを実行できます。Giteaでは、このHookを設定する機能を提供します。

以下の画面のように、Hookはスクリプトとして作成できます。詳細については、https://git-scm.com/book/ko/v1/Git맞춤-Git-훅のページを参照してください。
デプロイキー(Deploy keys)
外部にデプロイする際、JenkinsなどのツールでGitをクローンする際にSSHキーを使用します。このSSHキーを登録する機能です。
詳細な使用方法は、https://blog.github.com/2015-06-16-read-only-deploy-keys/のページを参照してください。
